定制化夹具

根据客户的测试需求,定制相关夹具:
1、自定义背板/连接器,国内外分立电阻电容电感器件, 自研芯片、线缆等测试夹具
2、符合测试标准,精确测量客户待测物的真实性能
3、可根据测试场景选择TRL/ISD/AFR等多种去嵌方法,均能完全去除夹具的影响,去嵌精度:回损-40dB@67GHz,插损±0.1dB@67GHz

国产分立器件测试夹具

5G天线连接器夹具测试
去嵌精度&测试精度
去嵌方式对比
可以使用多种不同的去嵌方式实现测试产品DUT,均能保证高精度的去嵌测试
TRL校准精度
TRL去嵌精度做到50Ghz+,IL小于±0.1db,RL小于-35db。
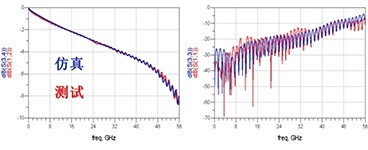
仿测校准案例

带SMA头的仿真测试拟合

插损回损拟合

TDR阻抗拟合
